recoveryshake.com
HOME
About
Contact
Disclaimer
Privacy
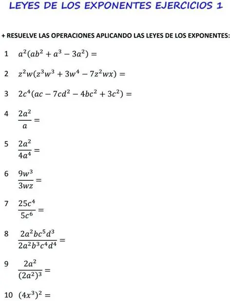
Aplicaciones de las leyes de exponentes
Oct 13, 2025
by recoveryshake.com
108
views