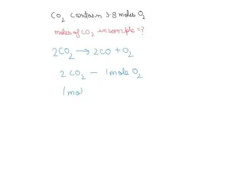
Calculating the Mass of Oxygen in a Sample of Carbon Dioxide Oct 13, 2025 by recoveryshake.com 129 views