recoveryshake.com
HOME
About
Contact
Disclaimer
Privacy
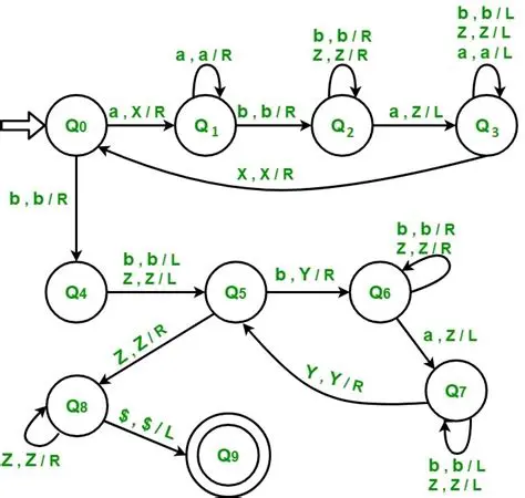
Constructing a Turing Machine
Oct 13, 2025
by recoveryshake.com
139
views