recoveryshake.com
HOME
About
Contact
Disclaimer
Privacy
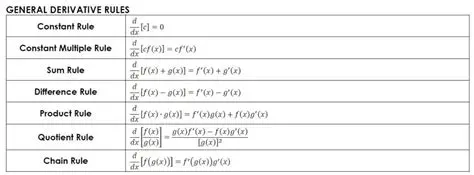
Derivation of the Correct Formula
Oct 13, 2025
by recoveryshake.com
138
views