recoveryshake.com
HOME
About
Contact
Disclaimer
Privacy
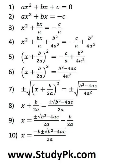
Deriving the Quadratic Formula by Completing the Square
Oct 13, 2025
by recoveryshake.com
10
views