recoveryshake.com
HOME
About
Contact
Disclaimer
Privacy
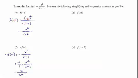
Evaluating Expressions Using Function Notation
Oct 13, 2025
by recoveryshake.com
140
views