recoveryshake.com
HOME
About
Contact
Disclaimer
Privacy
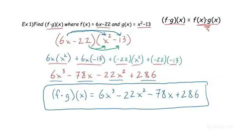
Finding the Product Function
Oct 13, 2025
by recoveryshake.com
88
views