recoveryshake.com
HOME
About
Contact
Disclaimer
Privacy
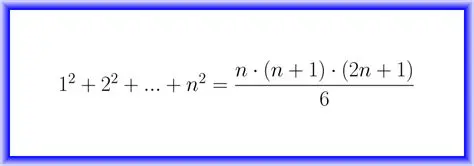
Formula pentru suma a patru numere naturale consecutive
Oct 13, 2025
by recoveryshake.com
14
views