recoveryshake.com
HOME
About
Contact
Disclaimer
Privacy
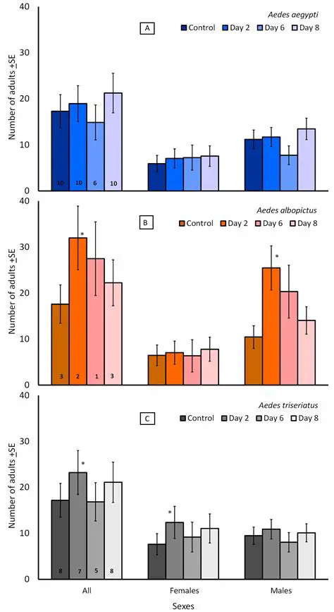
Modeling the Mosquito Population
Oct 13, 2025
by recoveryshake.com
102
views