recoveryshake.com
HOME
About
Contact
Disclaimer
Privacy
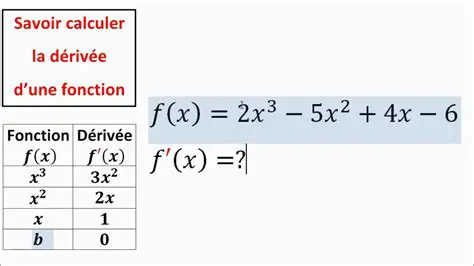
Multiplication de fonctions
Oct 13, 2025
by recoveryshake.com
5
views