recoveryshake.com
HOME
About
Contact
Disclaimer
Privacy
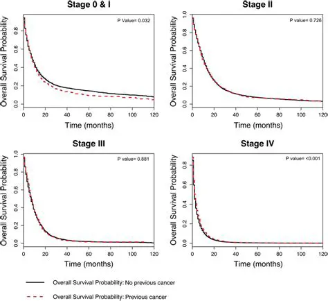
Overlay of Previous Curves
Oct 13, 2025
by recoveryshake.com
115
views