recoveryshake.com
HOME
About
Contact
Disclaimer
Privacy
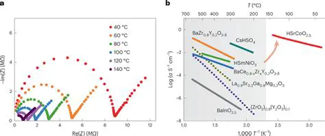
Proton conductivity with impedance analysis
Oct 13, 2025
by recoveryshake.com
29
views