recoveryshake.com
HOME
About
Contact
Disclaimer
Privacy
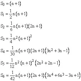
Representing Numbers as Sums of Powers of Two
Oct 13, 2025
by recoveryshake.com
136
views