recoveryshake.com
HOME
About
Contact
Disclaimer
Privacy
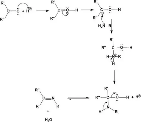
Schiff Base Synthesis from Furfural and Phenylhydrazine
Oct 13, 2025
by recoveryshake.com
1
views