recoveryshake.com
HOME
About
Contact
Disclaimer
Privacy
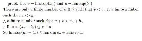
The Introduction of Limsup
Oct 13, 2025
by recoveryshake.com
73
views